Официальное опубликование правовых актов
ОФИЦИАЛЬНОЕ ОПУБЛИКОВАНИЕ
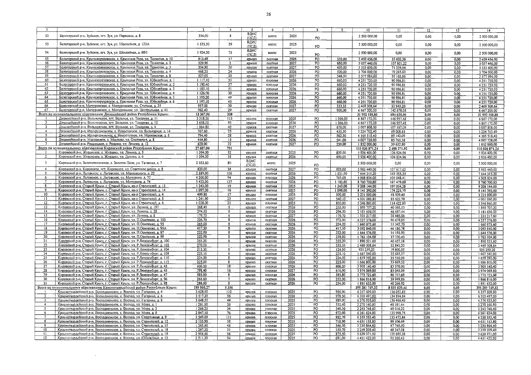
Постановление Совета министров Республики Крым от 28.06.2024 № 343
"Об утверждении краткосрочного плана на 2025-2027 годы по реализации Региональной программы капитального ремонта общего имущества в многоквартирных домах на территории Республики Крым на 2016-2050 годы"
Номер опубликования: 9100202407020005
Дата опубликования: 02.07.2024
Страница №26 из 33:
Увеличить