Официальное опубликование правовых актов
ОФИЦИАЛЬНОЕ ОПУБЛИКОВАНИЕ
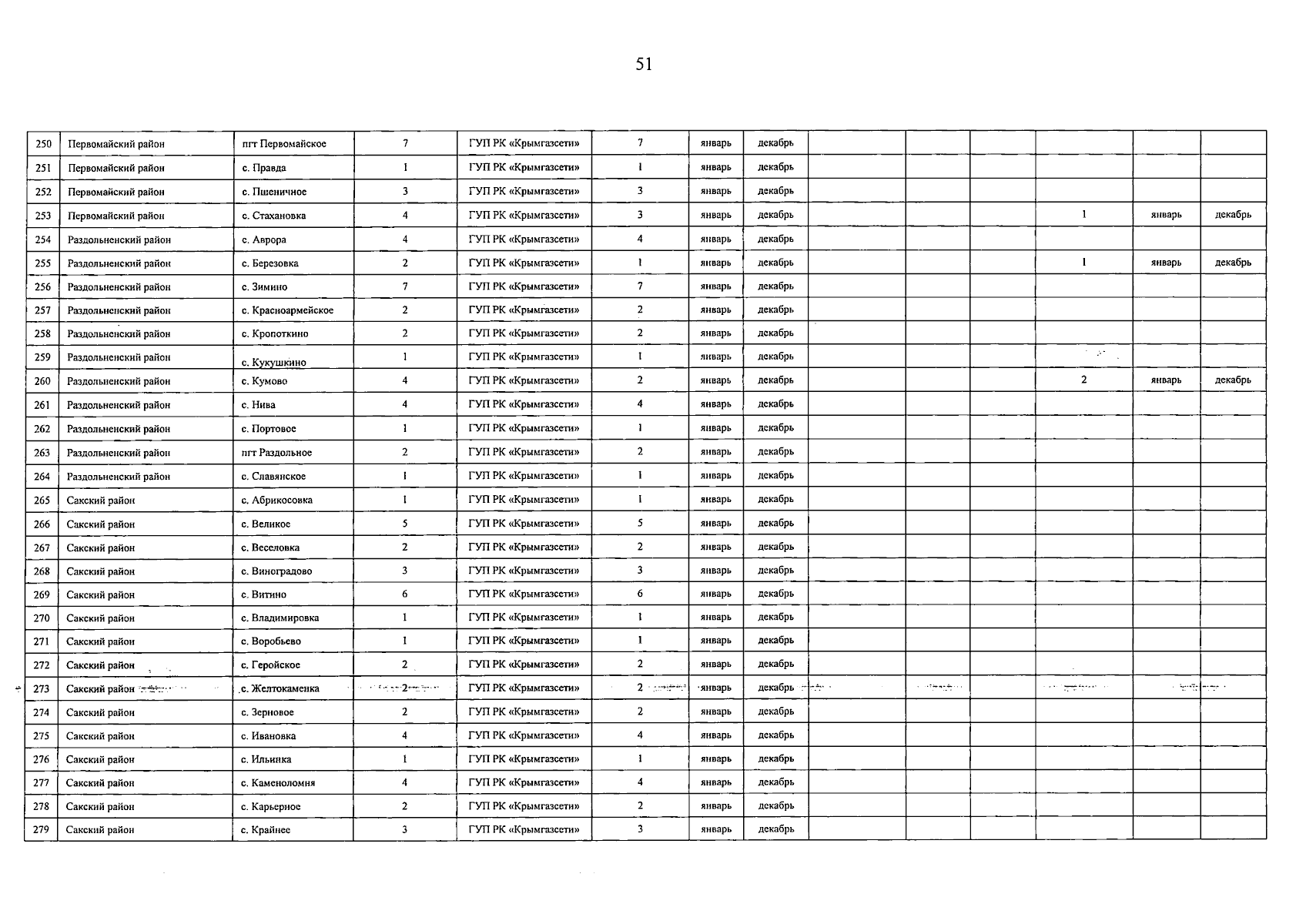
Постановление Совета министров Республики Крым от 25.12.2023 № 953
"Об утверждении региональной программы Республики Крым "Газификация населенных пунктов Республики Крым"
Номер опубликования: 9100202312250012
Дата опубликования: 25.12.2023
Страница №51 из 487:
Увеличить