Официальное опубликование правовых актов
ОФИЦИАЛЬНОЕ ОПУБЛИКОВАНИЕ
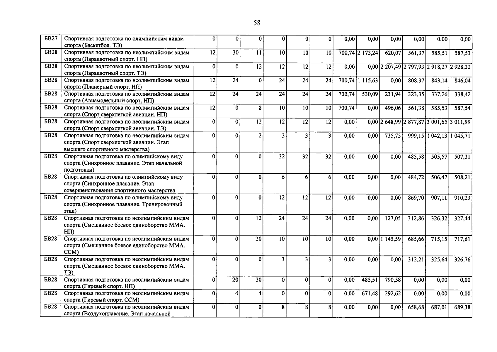
Постановление Совета министров Республики Крым от 22.12.2023 № 950
"О внесении изменений в постановление Совета министров Республики Крым от 30 декабря 2015 года № 874"
Номер опубликования: 9100202312250009
Дата опубликования: 25.12.2023
Страница №58 из 86:
Увеличить