Официальное опубликование правовых актов
ОФИЦИАЛЬНОЕ ОПУБЛИКОВАНИЕ
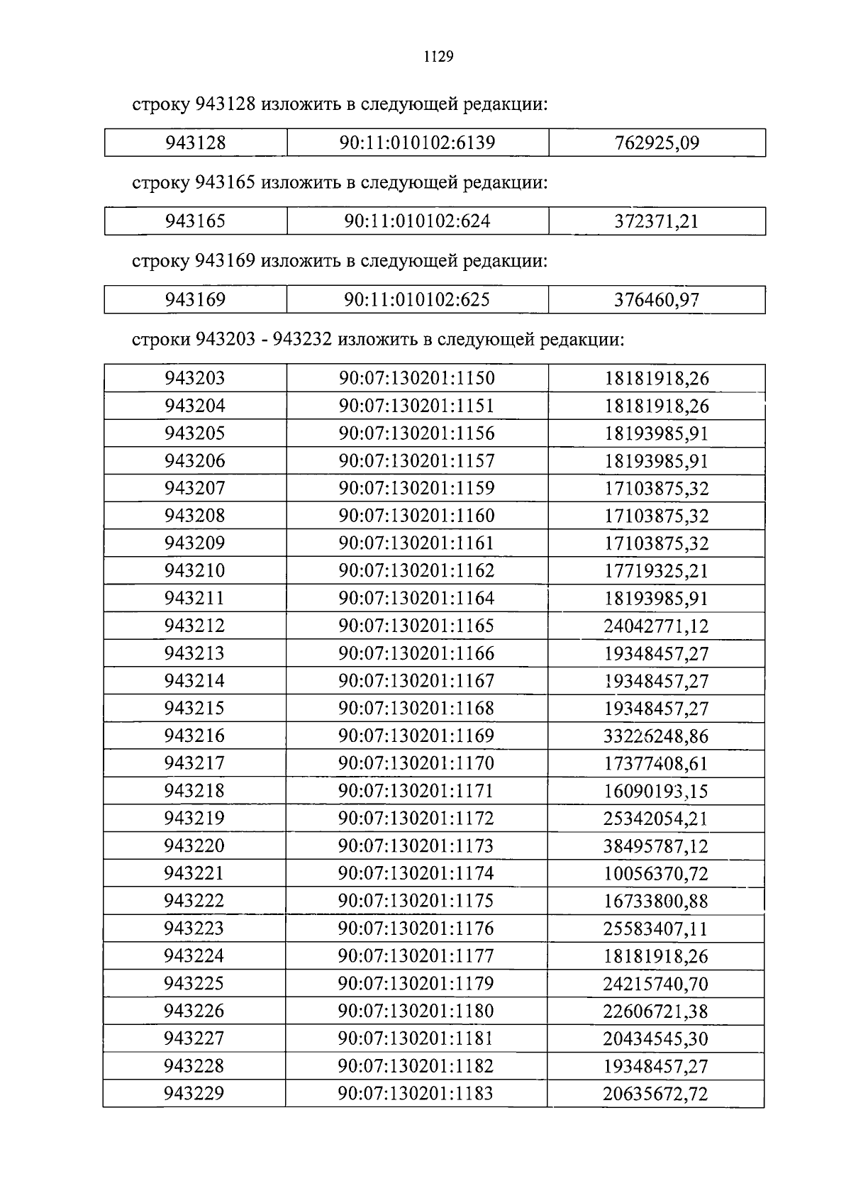
Постановление Совета министров Республики Крым от 22.12.2023 № 948
"О внесении изменений в постановление Совета министров Республики Крым от 16 ноября 2022 года № 1010"
Номер опубликования: 9100202312250003
Дата опубликования: 25.12.2023
Страница №1129 из 1194:
Увеличить