Официальное опубликование правовых актов
ОФИЦИАЛЬНОЕ ОПУБЛИКОВАНИЕ
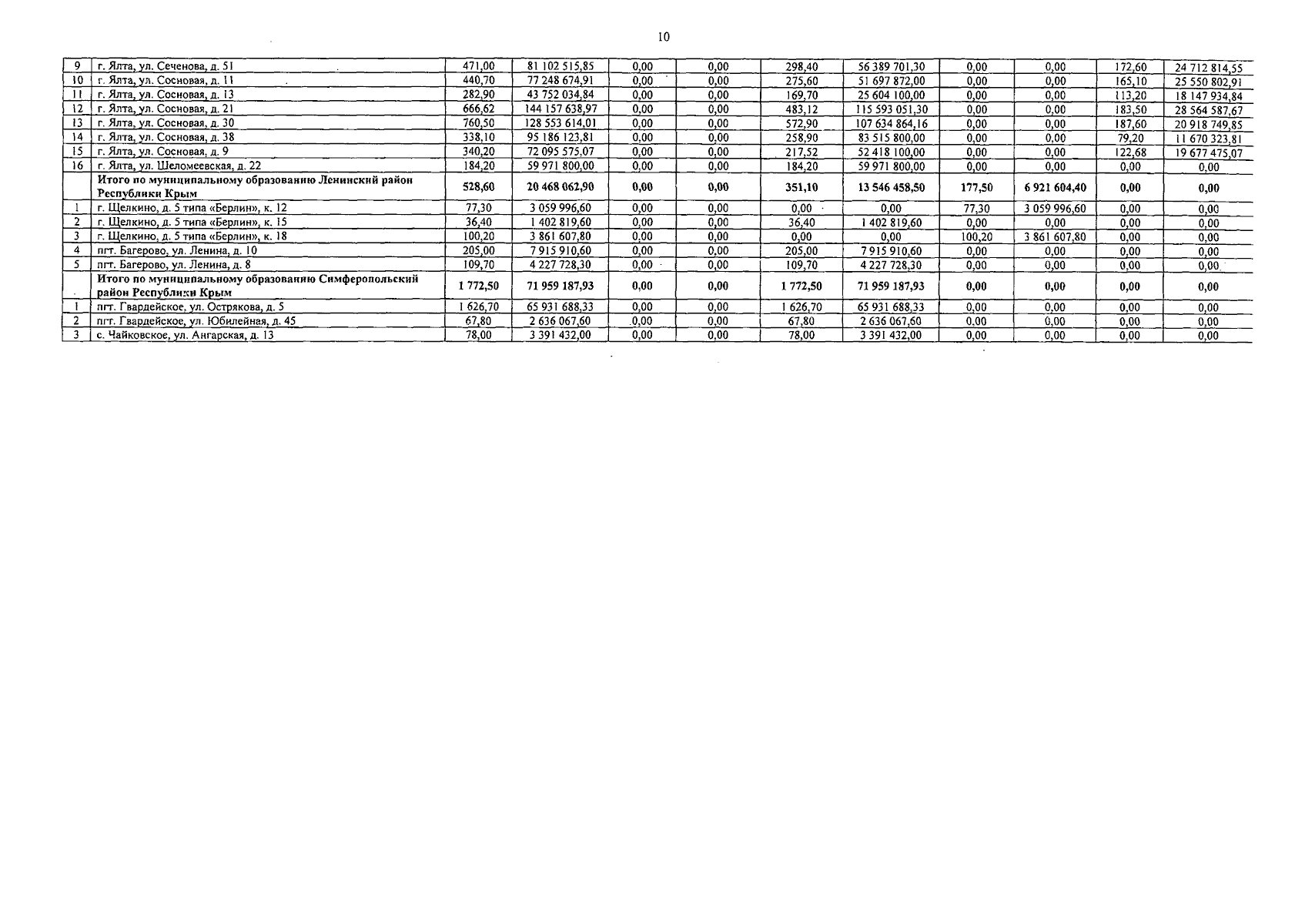
Постановление Совета министров Республики Крым от 30.11.2023 № 847
"О внесении изменений в постановление Совета министров Республики Крым от 29 марта 2018 года № 148"
Номер опубликования: 9100202312010004
Дата опубликования: 01.12.2023
Страница №10 из 10:
Увеличить