Официальное опубликование правовых актов
ОФИЦИАЛЬНОЕ ОПУБЛИКОВАНИЕ
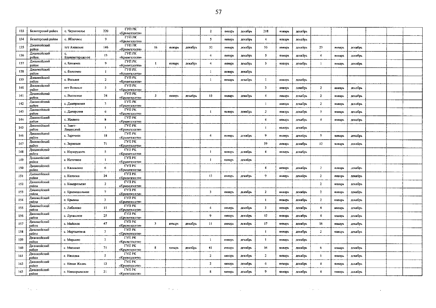
Постановление Совета министров Республики Крым от 19.09.2023 № 695
"О внесении изменений в постановление Совета министров Республики Крым от 5 декабря 2017 года № 658"
Номер опубликования: 9100202309200006
Дата опубликования: 20.09.2023
Страница №57 из 1148:
Увеличить