Официальное опубликование правовых актов
ОФИЦИАЛЬНОЕ ОПУБЛИКОВАНИЕ
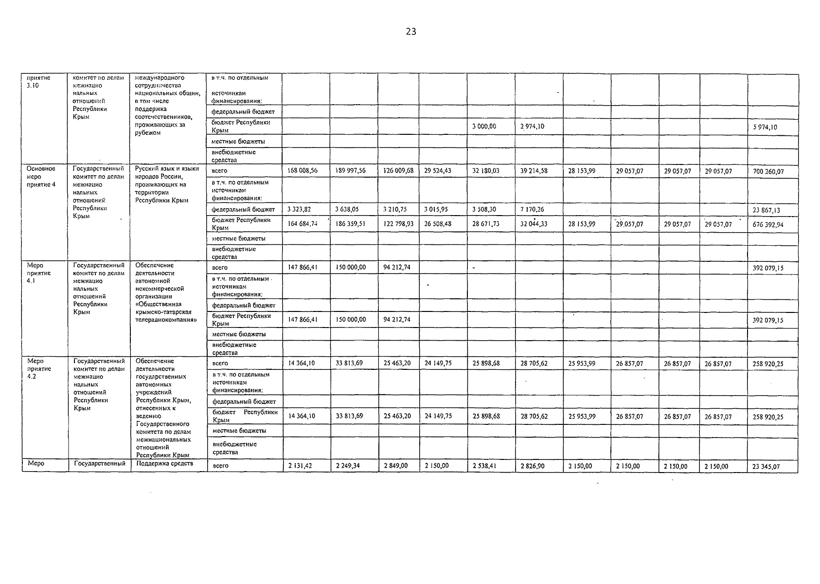
Постановление Совета министров Республики Крым от 12.09.2023 № 677
"О внесении изменений в постановление Совета министров Республики Крым от 29 января 2018 года № 30"
Номер опубликования: 9100202309130005
Дата опубликования: 13.09.2023
Страница №23 из 31:
Увеличить