Официальное опубликование правовых актов
ОФИЦИАЛЬНОЕ ОПУБЛИКОВАНИЕ
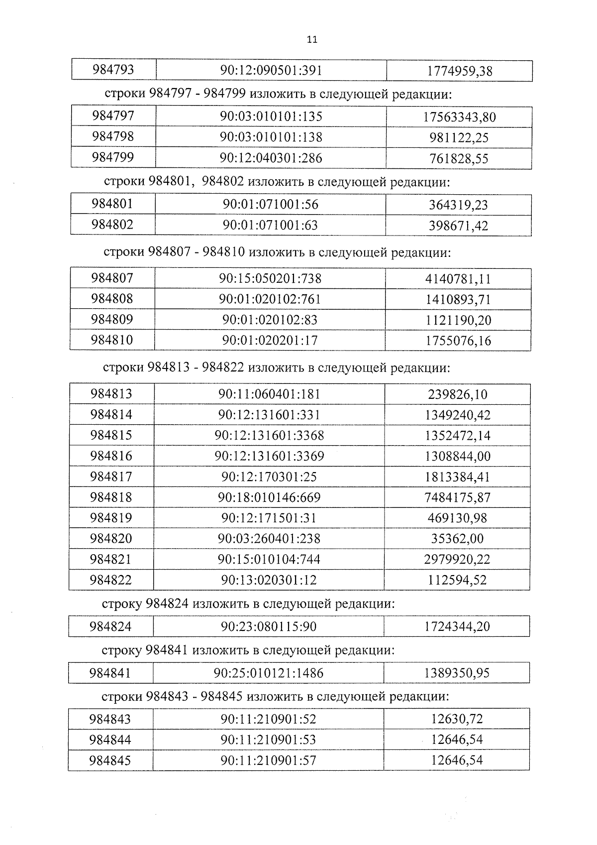
Постановление Совета министров Республики Крым от 07.09.2023 № 667
"О внесении изменений в постановление Совета министров Республики Крым от 16 ноября 2022 года № 1010"
Номер опубликования: 9100202309110003
Дата опубликования: 11.09.2023
Страница №11 из 114:
Увеличить