Официальное опубликование правовых актов
ОФИЦИАЛЬНОЕ ОПУБЛИКОВАНИЕ
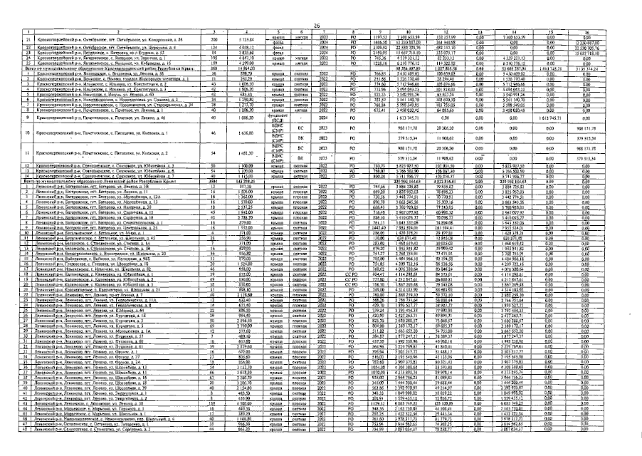
Постановление Совета министров Республики Крым от 29.06.2023 № 447
"О внесении изменений в постановление Совета министров Республики Крым от 29 декабря 2021 года № 864"
Номер опубликования: 9100202307030016
Дата опубликования: 03.07.2023
Страница №26 из 32:
Увеличить