Официальное опубликование правовых актов
ОФИЦИАЛЬНОЕ ОПУБЛИКОВАНИЕ
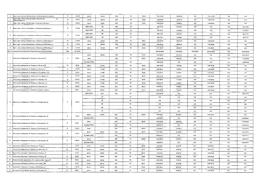
Постановление Совета министров Республики Крым от 02.06.2023 № 383
"О внесении изменений в постановление Совета министров Республики Крым от 29 декабря 2021 года № 864"
Номер опубликования: 9100202306060010
Дата опубликования: 06.06.2023
Страница №101 из 137:
Увеличить