Официальное опубликование правовых актов
ОФИЦИАЛЬНОЕ ОПУБЛИКОВАНИЕ
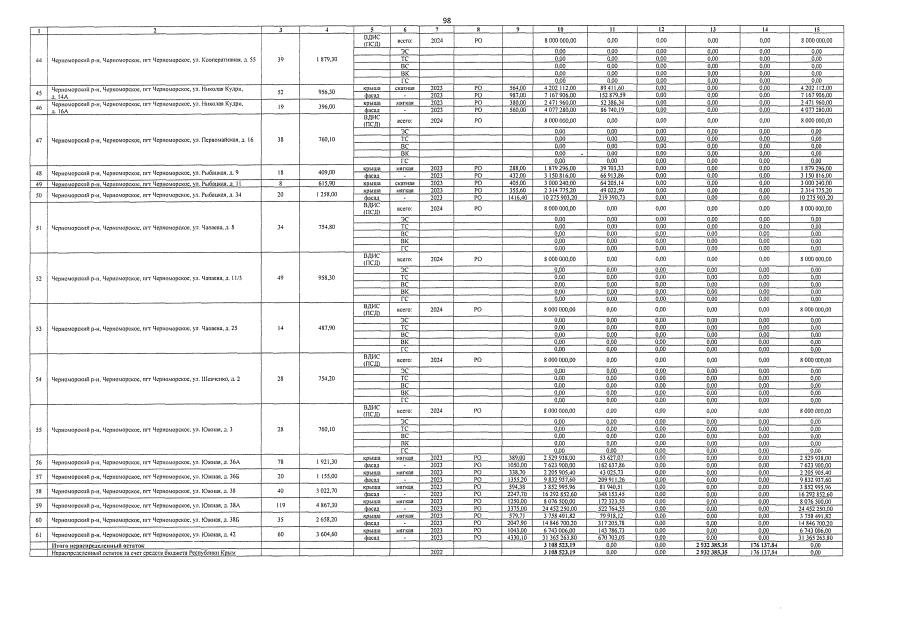
Постановление Совета министров Республики Крым от 20.12.2022 № 1192
"О внесении изменений в постановление Совета министров Республики Крым от 29 декабря 2021 года № 864"
Номер опубликования: 9100202212220005
Дата опубликования: 22.12.2022
Страница №98 из 100:
Увеличить