Официальное опубликование правовых актов
ОФИЦИАЛЬНОЕ ОПУБЛИКОВАНИЕ
Постановление Совета министров Республики Крым от 15.09.2022 № 708
"О внесении изменений в постановление Совета министров Республики Крым от 30 ноября 2015 года № 753"
Номер опубликования: 9100202209160016
Дата опубликования: 16.09.2022
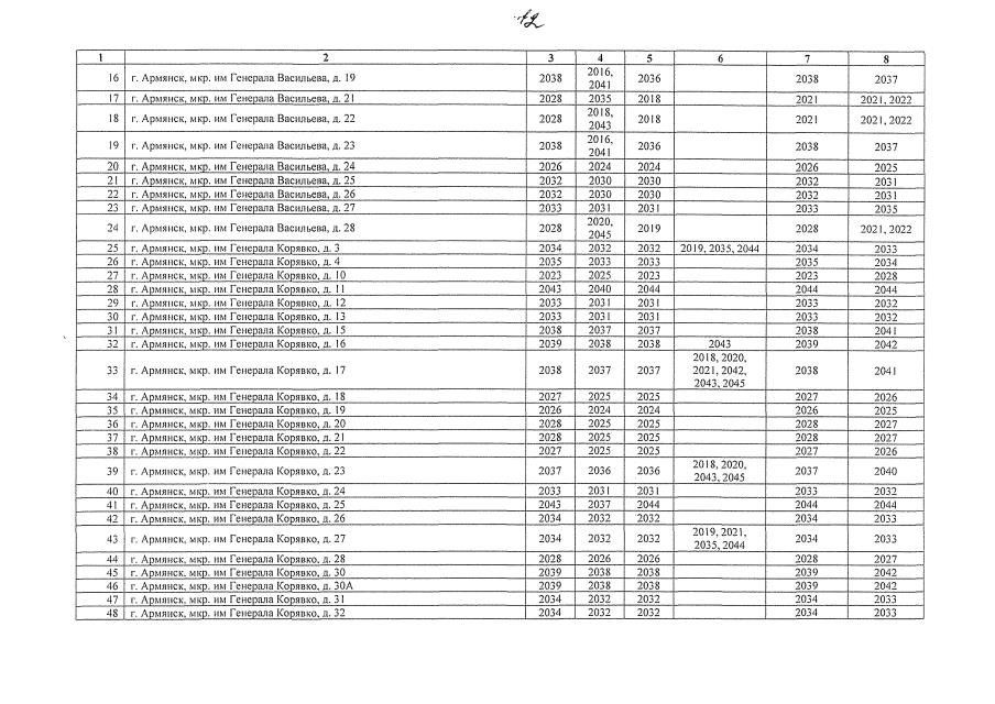
Страница №12 из 276:
Увеличить