Официальное опубликование правовых актов
ОФИЦИАЛЬНОЕ ОПУБЛИКОВАНИЕ
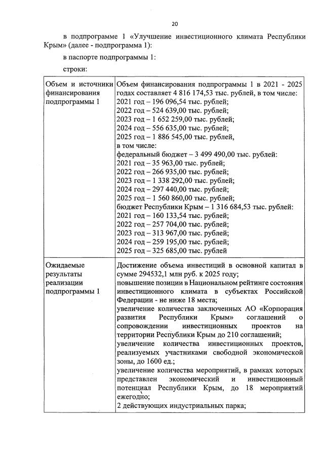
Постановление Совета министров Республики Крым от 23.08.2022 № 622
"О внесении изменений в постановление Совета министров Республики Крым от 18 декабря 2020 года № 817"
Номер опубликования: 9100202208290016
Дата опубликования: 29.08.2022
Страница №20 из 64:
Увеличить