Официальное опубликование правовых актов
ОФИЦИАЛЬНОЕ ОПУБЛИКОВАНИЕ
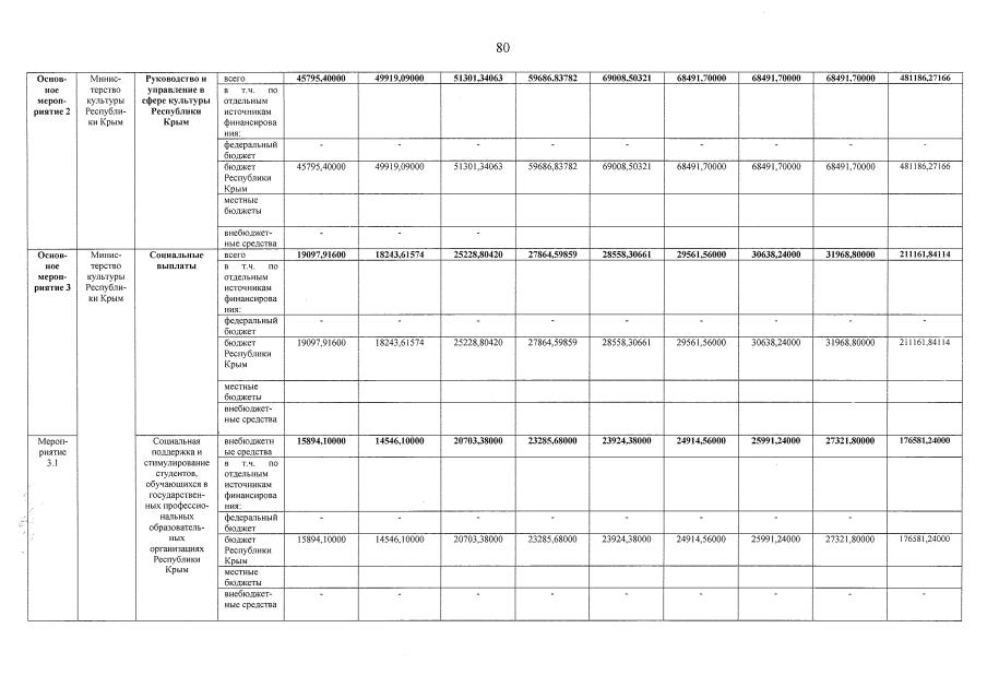
Постановление Совета министров Республики Крым от 16.08.2022 № 595
"О внесении изменений в постановление Совета министров Республики Крым от 31 января 2017 года № 28"
Номер опубликования: 9100202208180011
Дата опубликования: 18.08.2022
Страница №80 из 113:
Увеличить