Официальное опубликование правовых актов
ОФИЦИАЛЬНОЕ ОПУБЛИКОВАНИЕ
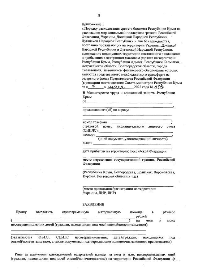
Постановление Совета министров Республики Крым от 07.07.2022 № 503
"О внесении изменений в постановление Совета министров Республики Крым от 8 апреля 2022 года № 231"
Номер опубликования: 9100202207130004
Дата опубликования: 13.07.2022
Страница №8 из 19:
Увеличить