Официальное опубликование правовых актов
ОФИЦИАЛЬНОЕ ОПУБЛИКОВАНИЕ
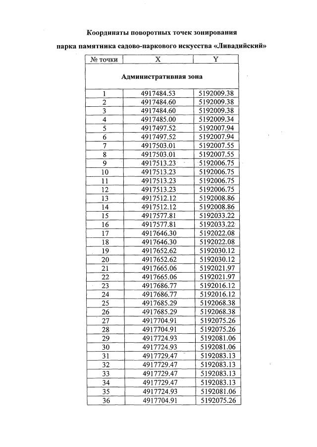
Постановление Совета министров Республики Крым от 20.06.2022 № 455
"Об изменении режима особой охраны Парка-памятника садово-паркового искусства регионального значения Республики Крым "Ливадийский"
Номер опубликования: 9100202206230009
Дата опубликования: 23.06.2022
Страница №6 из 26:
Увеличить