Официальное опубликование правовых актов
ОФИЦИАЛЬНОЕ ОПУБЛИКОВАНИЕ
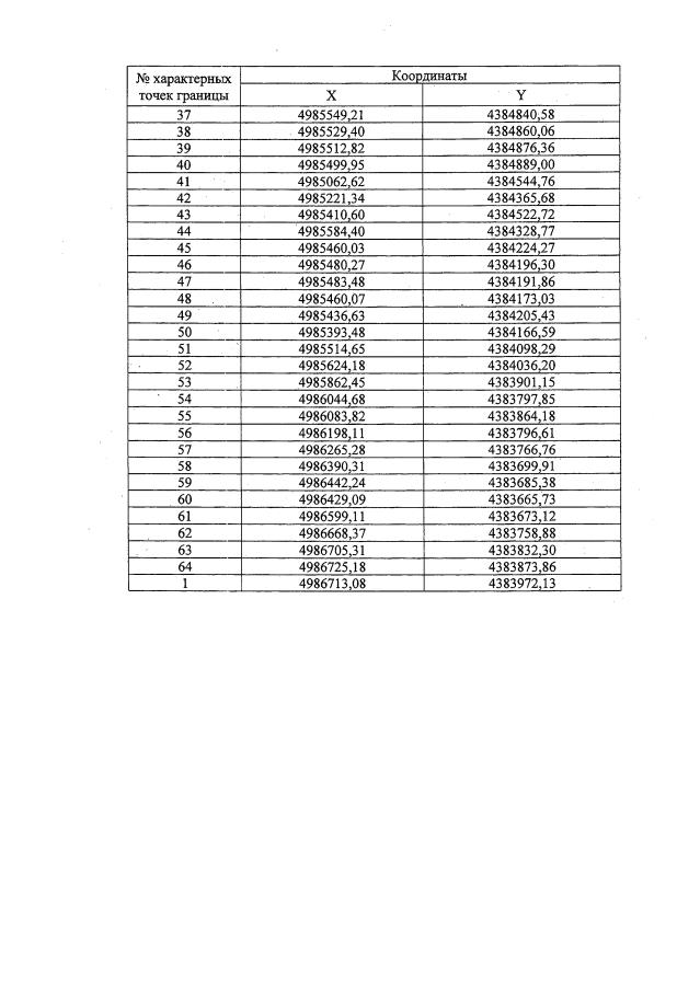
Постановление Совета министров Республики Крым от 27.04.2022 № 282
"О создании особо охраняемой природной территории регионального значения Республики Крым – государственного природного заказника регионального значения Республики Крым "Каламитский"
Номер опубликования: 9100202204280015
Дата опубликования: 28.04.2022
Страница №13 из 13:
Увеличить