Официальное опубликование правовых актов
ОФИЦИАЛЬНОЕ ОПУБЛИКОВАНИЕ
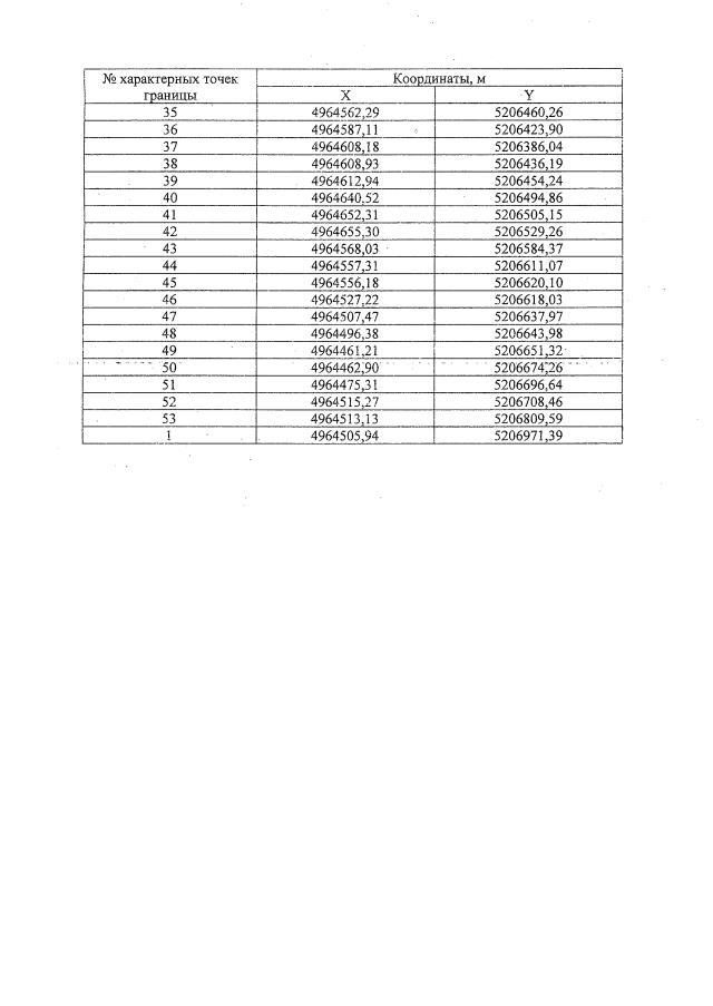
Постановление Совета министров Республики Крым от 30.03.2022 № 186
"О памятнике природы регионального значения Республики Крым "Каменные грибы Малого Салгира"
Номер опубликования: 9100202203310014
Дата опубликования: 31.03.2022
Страница №4 из 12:
Увеличить