Официальное опубликование правовых актов
ОФИЦИАЛЬНОЕ ОПУБЛИКОВАНИЕ
Постановление Совета министров Республики Крым от 27.01.2022 № 27
"О внесении изменений в постановление Совета министров Республики Крым от 1 апреля 2019 года № 182"
Номер опубликования: 9100202201310009
Дата опубликования: 31.01.2022
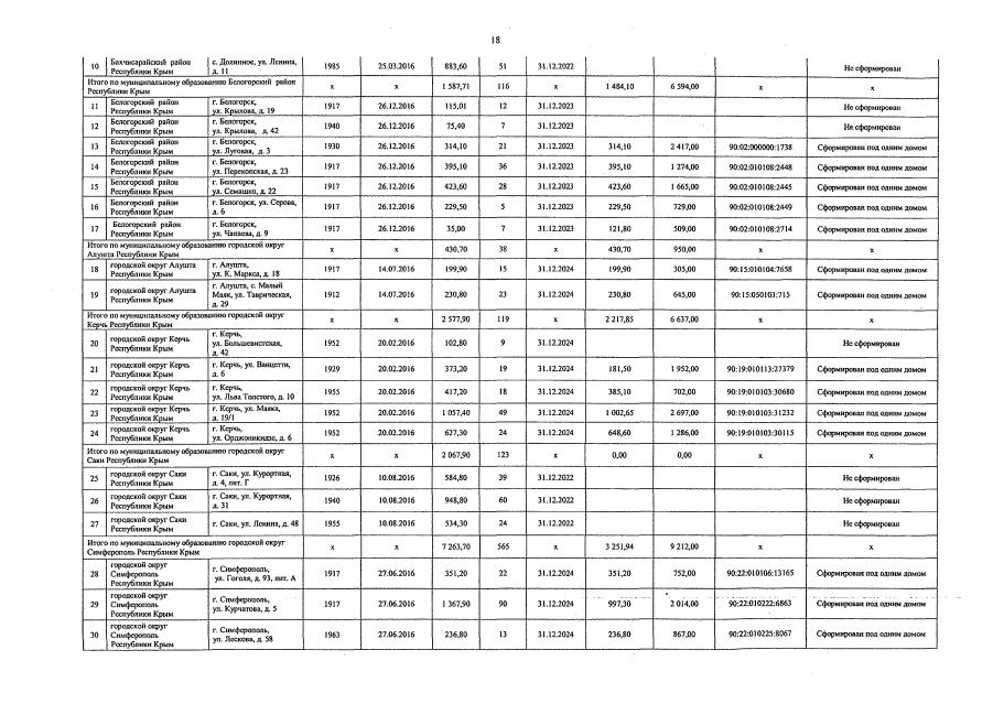
Страница №18 из 26:
Увеличить