Официальное опубликование правовых актов
ОФИЦИАЛЬНОЕ ОПУБЛИКОВАНИЕ
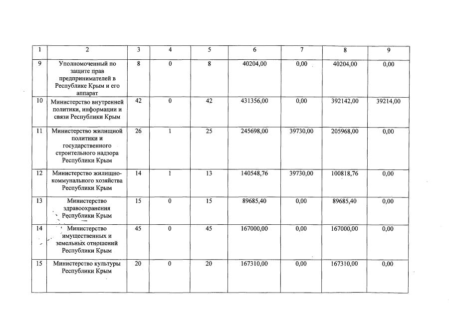
Постановление Совета министров Республики Крым от 30.12.2021 № 892
"Об утверждении государственного заказа на профессиональное развитие государственных гражданских служащих Республики Крым на 2022 год"
Номер опубликования: 9100202112310010
Дата опубликования: 31.12.2021
Страница №4 из 9:
Увеличить