Официальное опубликование правовых актов
ОФИЦИАЛЬНОЕ ОПУБЛИКОВАНИЕ
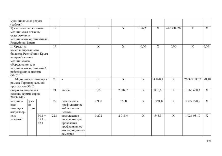
Постановление Совета министров Республики Крым от 29.12.2021 № 890
"Об утверждении Территориальной программы государственных гарантий бесплатного оказания гражданам медицинской помощи в Республике Крым на 2022 год и на плановый период 2023 и 2024 годов"
Номер опубликования: 9100202112300046
Дата опубликования: 30.12.2021
Страница №171 из 214:
Увеличить