Официальное опубликование правовых актов
ОФИЦИАЛЬНОЕ ОПУБЛИКОВАНИЕ
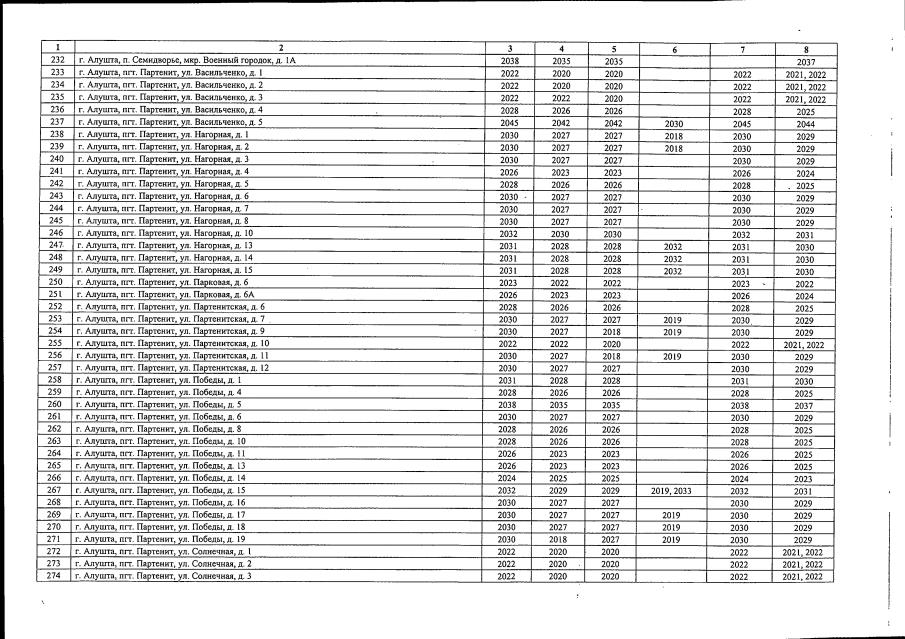
Постановление Совета министров Республики Крым от 20.12.2021 № 802
"О внесении изменений в постановление Совета министров Республики Крым от 30 ноября 2015 года № 753"
Номер опубликования: 9100202112220006
Дата опубликования: 22.12.2021
Страница №8 из 235:
Увеличить