Официальное опубликование правовых актов
ОФИЦИАЛЬНОЕ ОПУБЛИКОВАНИЕ
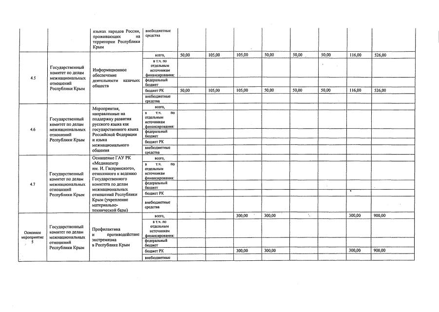
Постановление Совета министров Республики Крым от 30.11.2021 № 726
"О внесении изменений в постановление Совета министров Республики Крым от 29 января 2018 года № 30"
Номер опубликования: 9100202112090003
Дата опубликования: 09.12.2021
Страница №14 из 20:
Увеличить