Официальное опубликование правовых актов
ОФИЦИАЛЬНОЕ ОПУБЛИКОВАНИЕ
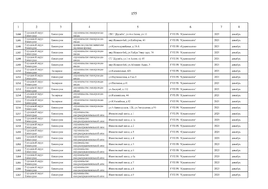
Постановление Совета министров Республики Крым от 30.11.2021 № 727
"О внесении изменений в постановление Совета министров Республики Крым от 5 декабря 2017 года № 658"
Номер опубликования: 9100202112090002
Дата опубликования: 09.12.2021
Страница №155 из 2181:
Увеличить