Официальное опубликование правовых актов
ОФИЦИАЛЬНОЕ ОПУБЛИКОВАНИЕ
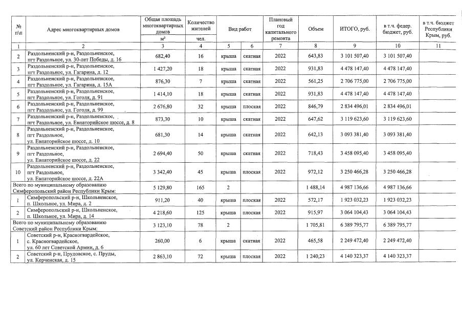
Постановление Совета министров Республики Крым от 12.11.2021 № 680
"О внесении изменений в постановление Совета министров Республики Крым от 30 января 2020 года № 38"
Номер опубликования: 9100202111190007
Дата опубликования: 19.11.2021
Страница №80 из 100:
Увеличить