Официальное опубликование правовых актов
ОФИЦИАЛЬНОЕ ОПУБЛИКОВАНИЕ
Постановление Совета министров Республики Крым от 15.09.2021 № 532
"О внесении изменений в постановление Совета министров Республики Крым от 30 января 2020 года № 38"
Номер опубликования: 9100202109170002
Дата опубликования: 17.09.2021
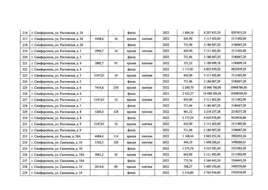
Страница №54 из 83:
Увеличить