Официальное опубликование правовых актов
ОФИЦИАЛЬНОЕ ОПУБЛИКОВАНИЕ
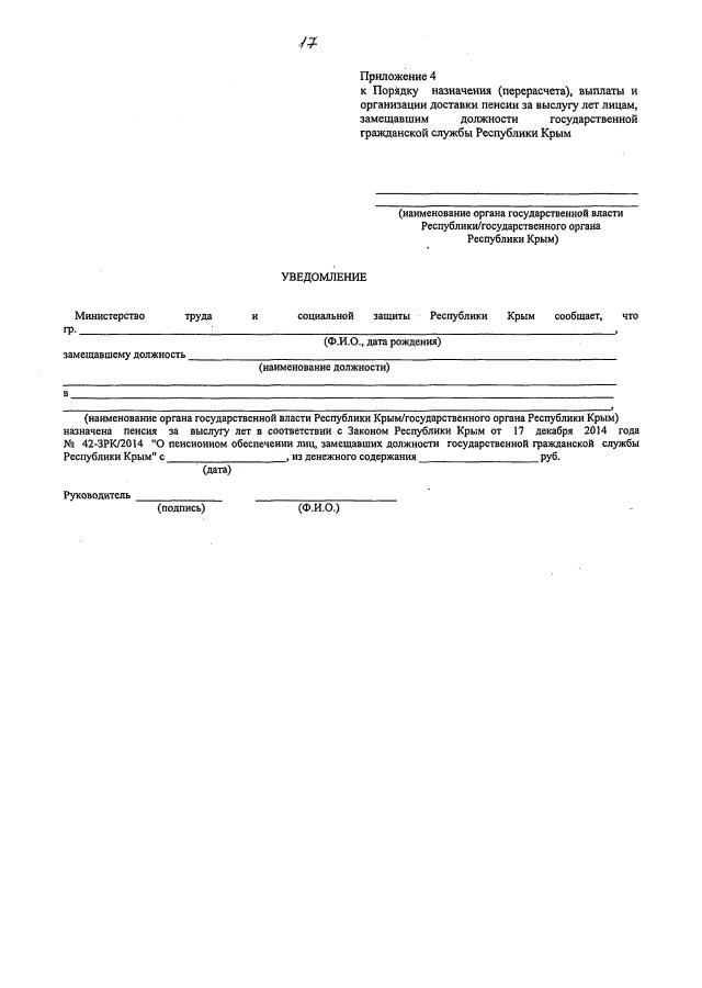
Постановление Совета министров Республики Крым от 09.09.2021 № 521
"О внесении изменений в постановление Совета министров Республики Крым от 06 марта 2015 года № 88"
Номер опубликования: 9100202109130004
Дата опубликования: 13.09.2021
Страница №17 из 29:
Увеличить