Официальное опубликование правовых актов
ОФИЦИАЛЬНОЕ ОПУБЛИКОВАНИЕ
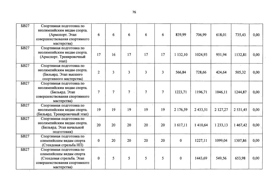
Постановление Совета министров Республики Крым от 19.08.2021 № 480
"О внесении изменений в постановление Совета министров Республики Крым от 30 декабря 2015 года № 874"
Номер опубликования: 9100202108200006
Дата опубликования: 20.08.2021
Страница №76 из 77:
Увеличить