Официальное опубликование правовых актов
ОФИЦИАЛЬНОЕ ОПУБЛИКОВАНИЕ
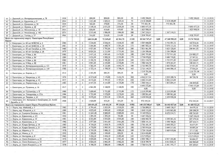
Постановление Совета министров Республики Крым от 28.07.2021 № 432
"О внесении изменений в постановление Совета министров Республики Крым от 21 декабря 2015 года № 797"
Номер опубликования: 9100202107300002
Дата опубликования: 30.07.2021
Страница №5 из 41:
Увеличить