Официальное опубликование правовых актов
ОФИЦИАЛЬНОЕ ОПУБЛИКОВАНИЕ
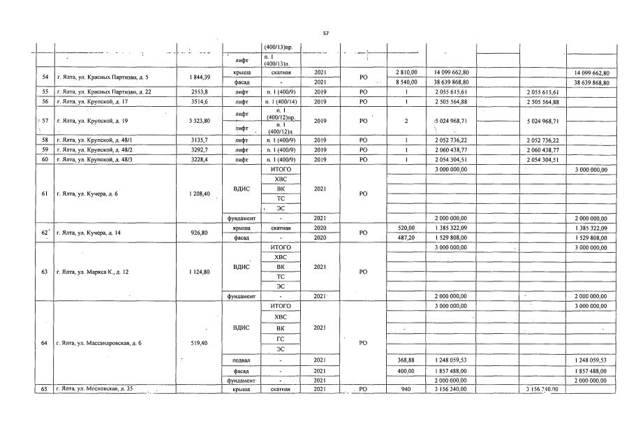
Постановление Совета министров Республики Крым от 21.05.2021 № 299
"О внесении изменений в постановление Совета министров Республики Крым от 21 ноября 2018 года № 574"
Номер опубликования: 9100202105250001
Дата опубликования: 25.05.2021
Страница №59 из 123:
Увеличить