Официальное опубликование правовых актов
ОФИЦИАЛЬНОЕ ОПУБЛИКОВАНИЕ
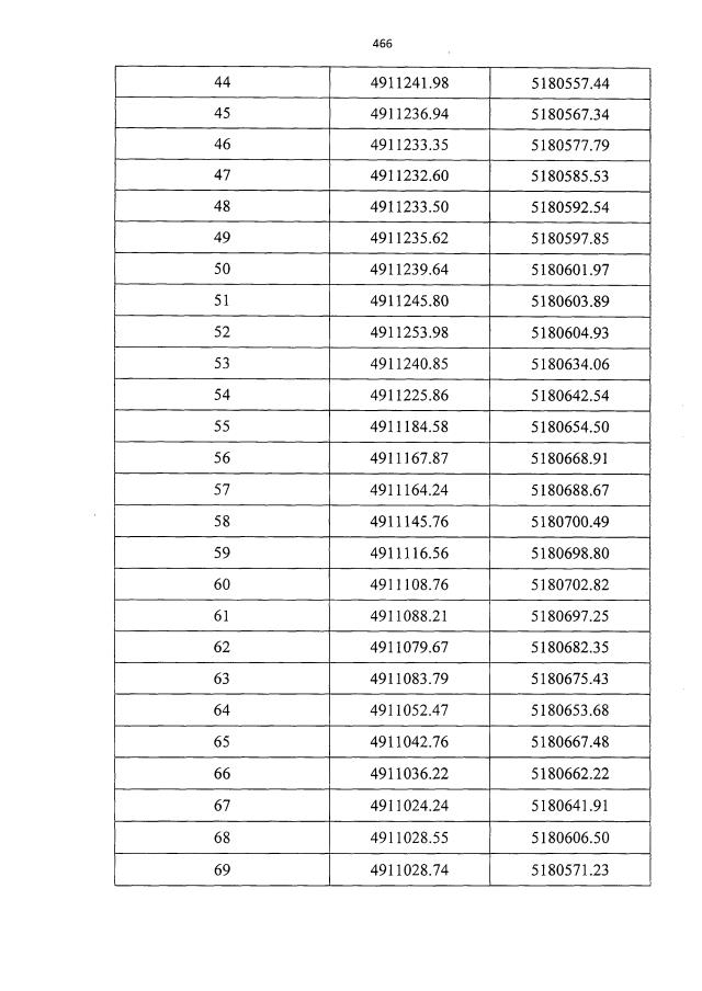
Постановление Совета министров Республики Крым от 15.04.2021 № 229
"О внесении изменений в постановление Совета министров Республики Крым от 02 октября 2018 года № 480"
Номер опубликования: 9100202104210003
Дата опубликования: 21.04.2021
Страница №466 из 489:
Увеличить