Официальное опубликование правовых актов
ОФИЦИАЛЬНОЕ ОПУБЛИКОВАНИЕ
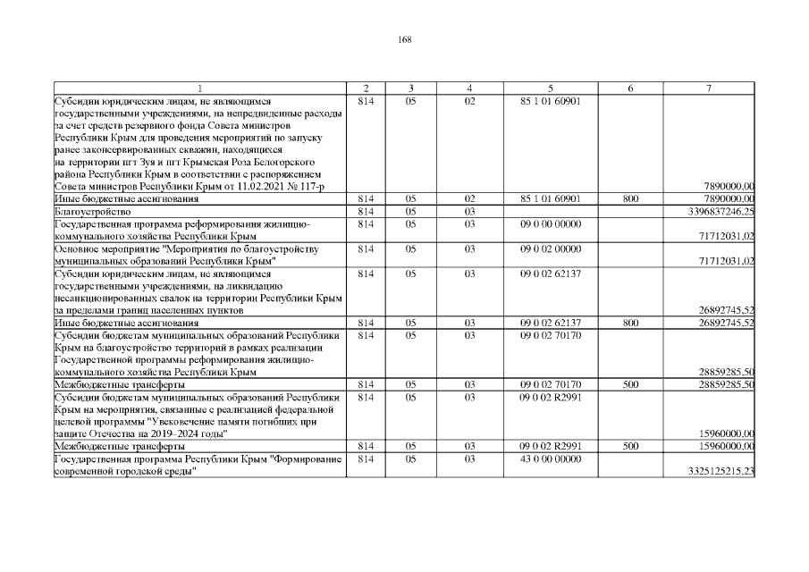
Закон Республики Крым от 31.03.2021 № 164-ЗРК/2021
"О внесении изменений в Закон Республики Крым "О бюджете Республики Крым на 2021 год и на плановый период 2022 и 2023 годов"
Номер опубликования: 9100202104010001
Дата опубликования: 01.04.2021
Страница №168 из 919:
Увеличить