Официальное опубликование правовых актов
ОФИЦИАЛЬНОЕ ОПУБЛИКОВАНИЕ
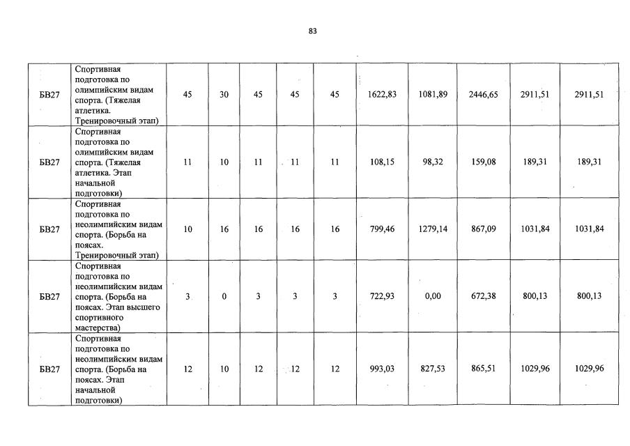
Постановление Совета министров Республики Крым от 15.03.2021 № 153
"О внесении изменений в постановление Совета министров Республики Крым от 30 декабря 2015 года № 874"
Номер опубликования: 9100202103220001
Дата опубликования: 22.03.2021
Страница №83 из 104:
Увеличить