Официальное опубликование правовых актов
ОФИЦИАЛЬНОЕ ОПУБЛИКОВАНИЕ
Постановление Совета министров Республики Крым от 26.02.2021 № 103
"О внесении изменений в постановление Совета министров Республики Крым от 05 апреля 2016 года № 129"
Номер опубликования: 9100202103010002
Дата опубликования: 01.03.2021
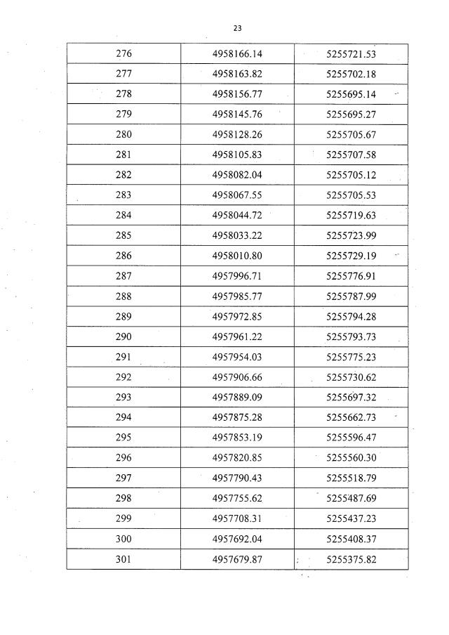
Страница №23 из 122:
Увеличить