Официальное опубликование правовых актов
ОФИЦИАЛЬНОЕ ОПУБЛИКОВАНИЕ
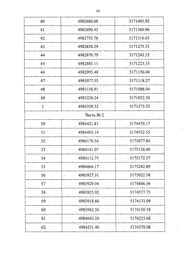
Постановление Совета министров Республики Крым от 09.02.2021 № 65
"О внесении изменений в постановление Совета министров Республики Крым от 24 мая 2016 года № 222"
Номер опубликования: 9100202102100004
Дата опубликования: 10.02.2021
Страница №101 из 197:
Увеличить