Официальное опубликование правовых актов
ОФИЦИАЛЬНОЕ ОПУБЛИКОВАНИЕ
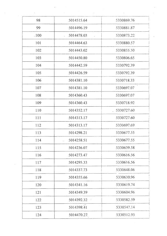
Постановление Совета министров Республики Крым от 21.01.2021 № 25
"О внесении изменений в постановление Совета министров Республики Крым от 28 октября 2016 года № 526"
Номер опубликования: 9100202101290003
Дата опубликования: 29.01.2021
Страница №12 из 14:
Увеличить