Официальное опубликование правовых актов
ОФИЦИАЛЬНОЕ ОПУБЛИКОВАНИЕ
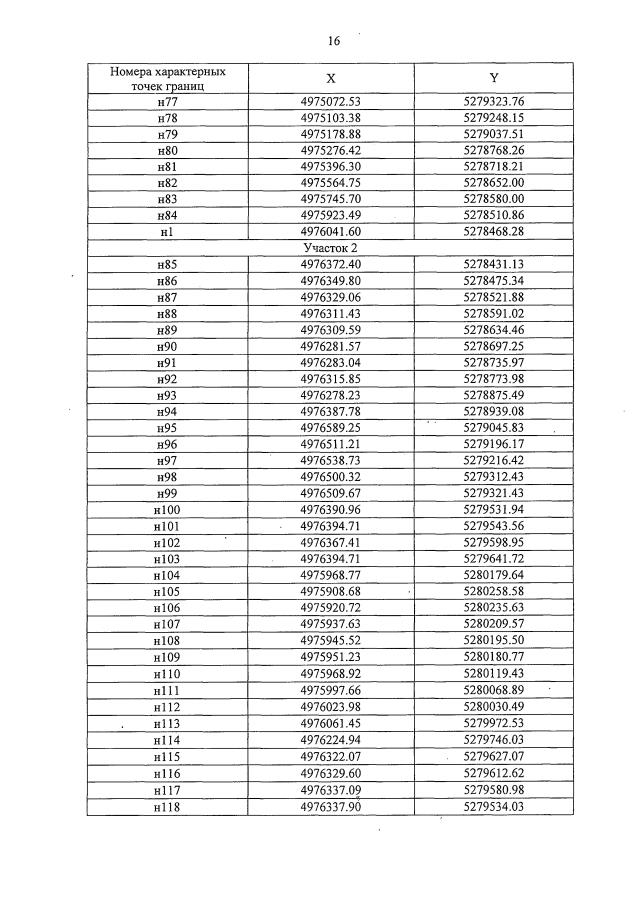
Постановление Совета министров Республики Крым от 10.12.2020 № 777
"О создании особо охраняемой природной территории регионального значения Республики Крым государственного природного заказника "Озеро Бараколь"
Номер опубликования: 9100202012140004
Дата опубликования: 14.12.2020
Страница №16 из 17:
Увеличить