Официальное опубликование правовых актов
ОФИЦИАЛЬНОЕ ОПУБЛИКОВАНИЕ
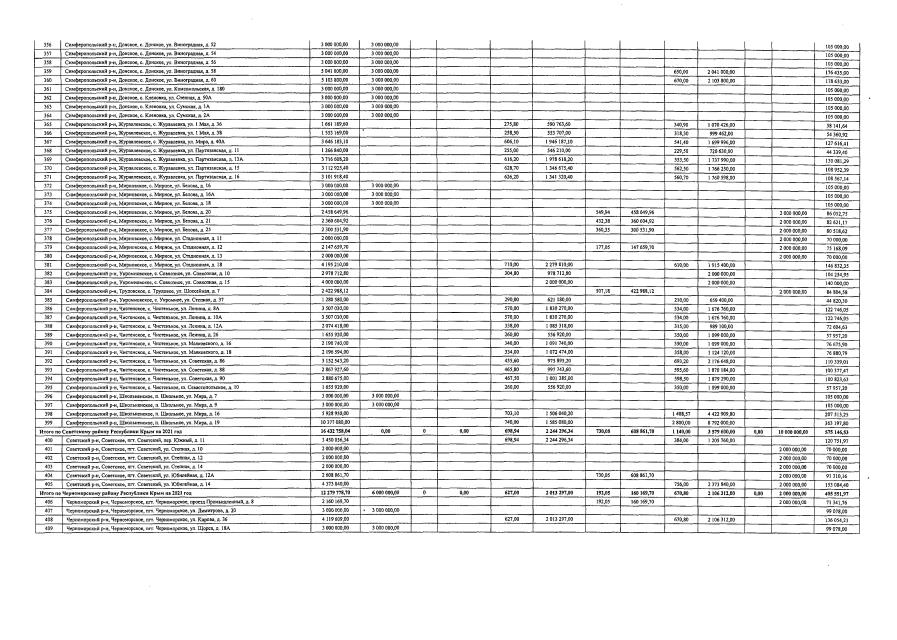
Постановление Совета министров Республики Крым от 30.10.2020 № 689
"О внесении изменений в постановление Совета министров Республики Крым от 21 ноября 2018 года № 574"
Номер опубликования: 9100202011020002
Дата опубликования: 02.11.2020
Страница №48 из 51:
Увеличить