Официальное опубликование правовых актов
ОФИЦИАЛЬНОЕ ОПУБЛИКОВАНИЕ
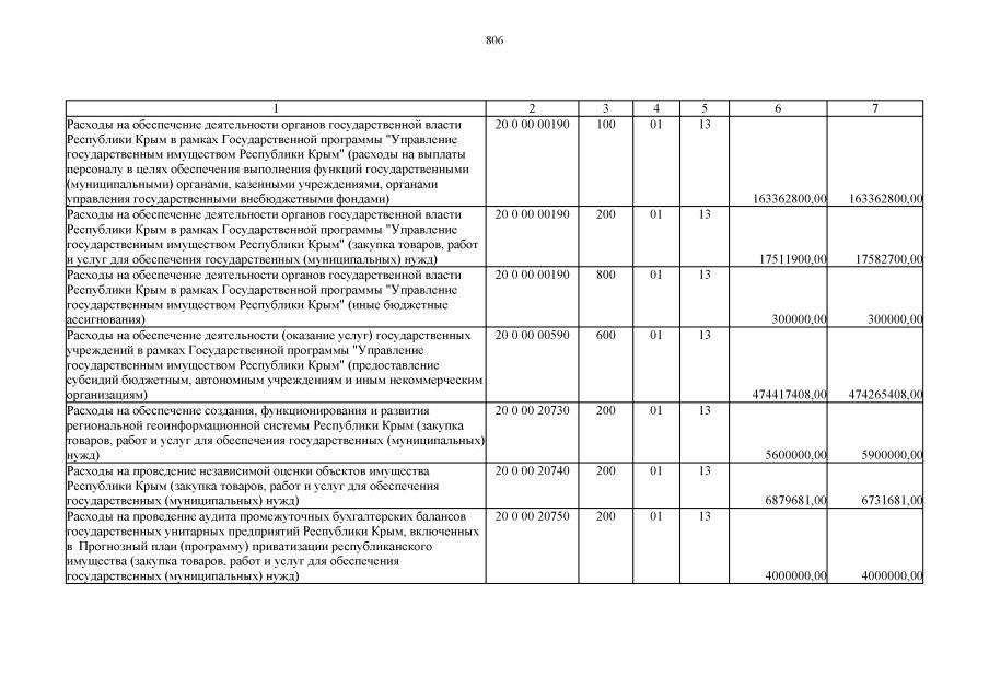
Закон Республики Крым от 31.08.2020 № 109-ЗРК/2020
"О внесении изменений в Закон Республики Крым "О бюджете Республики Крым на 2020 год и на плановый период 2021 и 2022 годов"
Номер опубликования: 9100202009010009
Дата опубликования: 01.09.2020
Страница №806 из 1005:
Увеличить