Официальное опубликование правовых актов
ОФИЦИАЛЬНОЕ ОПУБЛИКОВАНИЕ
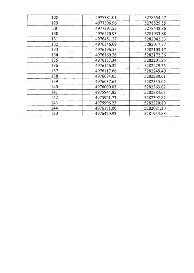
Указ Главы Республики Крым от 21.08.2020 № 273-У
"О внесении изменений в Указ Главы Республики Крым от 8 мая 2020 года № 146-У"
Номер опубликования: 9100202008250007
Дата опубликования: 25.08.2020
Страница №6 из 6:
Увеличить