Официальное опубликование правовых актов
ОФИЦИАЛЬНОЕ ОПУБЛИКОВАНИЕ
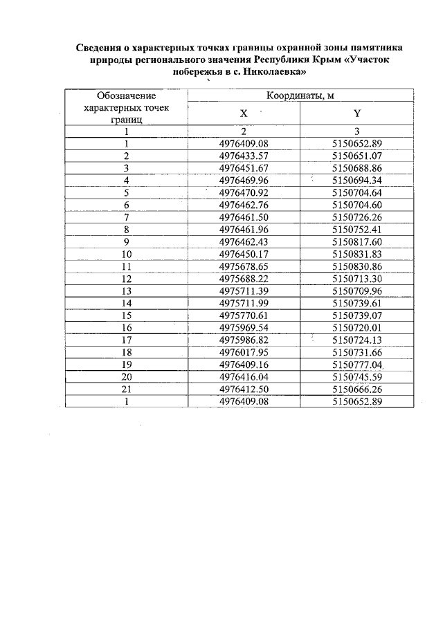
Указ Главы Республики Крым от 07.08.2020 № 261-У
"О внесении изменений в Указ Главы Республики Крым от 8 мая 2020 года № 155-У"
Номер опубликования: 9100202008130018
Дата опубликования: 13.08.2020
Страница №3 из 3:
Увеличить