Официальное опубликование правовых актов
ОФИЦИАЛЬНОЕ ОПУБЛИКОВАНИЕ
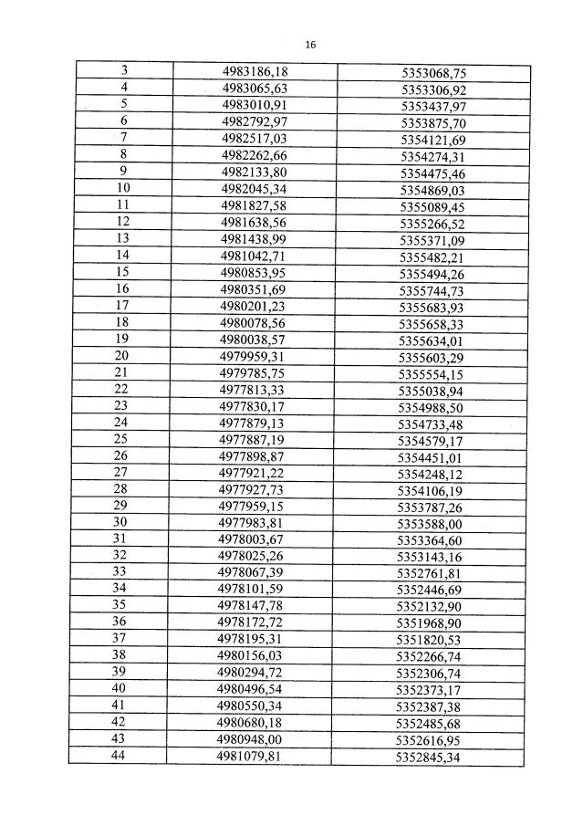
Постановление Совета министров Республики Крым от 07.08.2020 № 473
"Об установлении границ и режима округа горно-санитарной охраны лечебно-оздоровительной местности местного значения "Кояшская" Республики Крым"
Номер опубликования: 9100202008130003
Дата опубликования: 13.08.2020
Страница №16 из 20:
Увеличить