Официальное опубликование правовых актов
ОФИЦИАЛЬНОЕ ОПУБЛИКОВАНИЕ
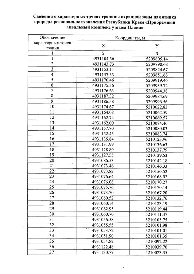
Указ Главы Республики Крым от 29.07.2020 № 243-У
"О внесении изменений в Указ Главы Республики Крым от 8 мая 2020 года № 144-У"
Номер опубликования: 9100202008060010
Дата опубликования: 06.08.2020
Страница №4 из 6:
Увеличить