Официальное опубликование правовых актов
ОФИЦИАЛЬНОЕ ОПУБЛИКОВАНИЕ
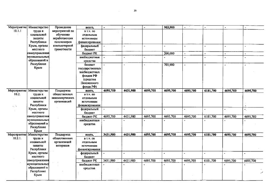
Постановление Совета министров Республики Крым от 29.07.2020 № 437
"О внесении изменений в постановление Совета министров Республики Крым от 28 декабря 2015 года № 842"
Номер опубликования: 9100202008060004
Дата опубликования: 06.08.2020
Страница №39 из 77:
Увеличить