Официальное опубликование правовых актов
ОФИЦИАЛЬНОЕ ОПУБЛИКОВАНИЕ
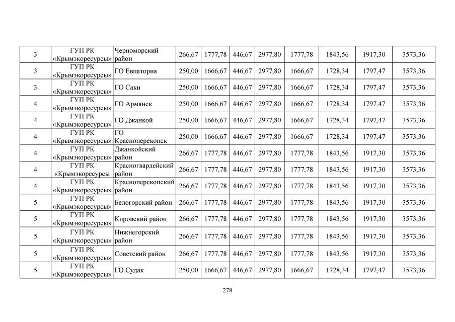
Постановление Совета министров Республики Крым от 29.06.2020 № 375
"Об утверждении территориальной схемы в области обращения с отходами, в том числе с твердыми коммунальными отходами, в Республике Крым"
Номер опубликования: 9100202007100001
Дата опубликования: 10.07.2020
Страница №278 из 8741:
Увеличить