Указ Главы Республики Крым от 08.05.2020 № 145-У
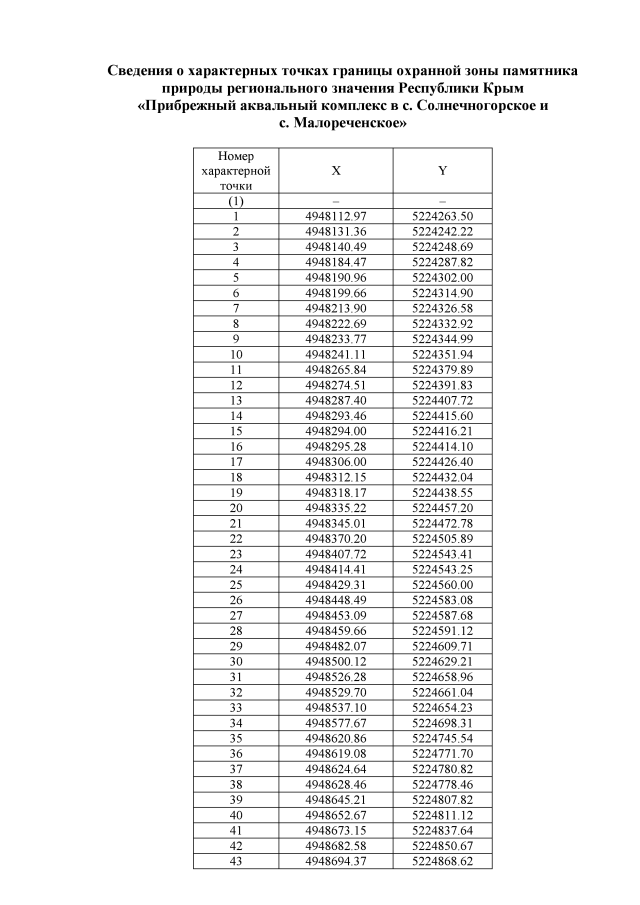
"Об установлении охранной зоны памятника природы регионального значения Республики Крым "Прибрежный аквальный комплекс в с. Солнечногорское и с. Малореченское"
"Об установлении охранной зоны памятника природы регионального значения Республики Крым "Прибрежный аквальный комплекс в с. Солнечногорское и с. Малореченское"
Номер опубликования: 9100202005180001
Дата опубликования:
18.05.2020
