Официальное опубликование правовых актов
ОФИЦИАЛЬНОЕ ОПУБЛИКОВАНИЕ
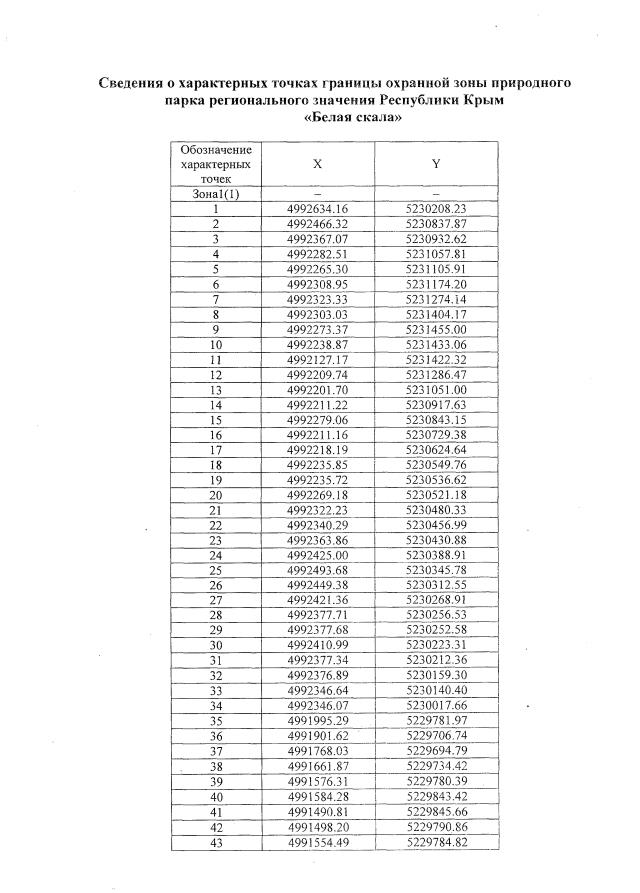
Указ Главы Республики Крым от 08.05.2020 № 149-У
"Об установлении охранной зоны природного парка регионального значения Республики Крым "Белая скала"
Номер опубликования: 9100202005150012
Дата опубликования: 15.05.2020
Страница №6 из 14:
Увеличить