Официальное опубликование правовых актов
ОФИЦИАЛЬНОЕ ОПУБЛИКОВАНИЕ
Указ Главы Республики Крым от 08.05.2020 № 147-У
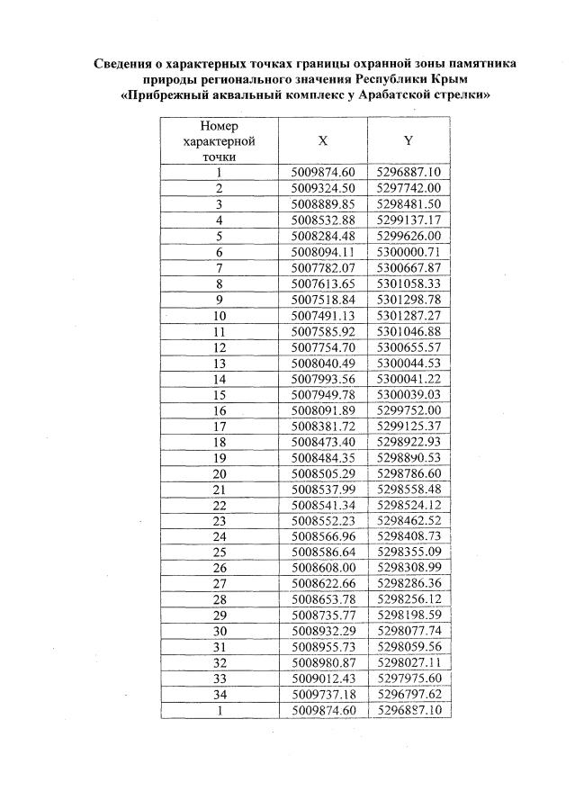
"Об установлении охранной зоны памятника природы регионального значения Республики Крым "Прибрежный аквальный комплекс у Арабатской стрелки"
Номер опубликования: 9100202005130005
Дата опубликования: 13.05.2020
Страница №3 из 6:
Увеличить