Официальное опубликование правовых актов
ОФИЦИАЛЬНОЕ ОПУБЛИКОВАНИЕ
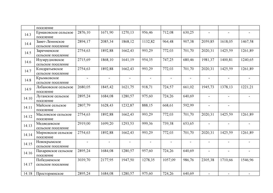
Постановление Совета министров Республики Крым от 16.04.2020 № 215
"О региональных стандартах стоимости жилищно-коммунальных услуг на одного члена семьи для семей разной численности, применяемых при определении прав граждан на получение субсидий и мер социальной поддержки на оплату жилого помещения и коммунальных услуг в Республике Крым, на 2020 год"
Номер опубликования: 9100202004230015
Дата опубликования: 23.04.2020
Страница №45 из 78:
Увеличить