Официальное опубликование правовых актов
ОФИЦИАЛЬНОЕ ОПУБЛИКОВАНИЕ
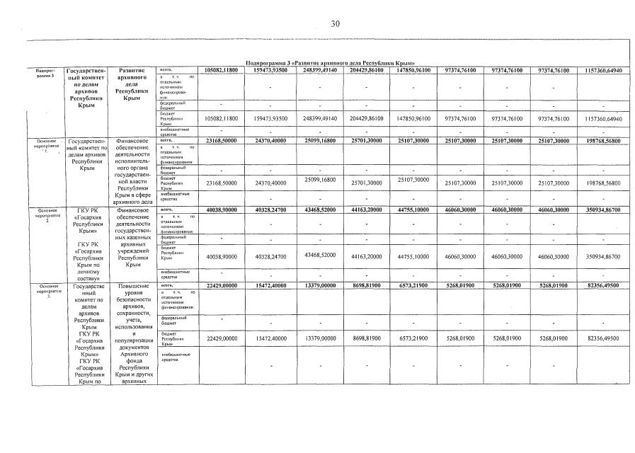
Постановление Совета министров Республики Крым от 28.12.2019 № 818
"О внесении изменений в постановление Совета министров Республики Крым от 31 января 2017 года № 28"
Номер опубликования: 9100201912310039
Дата опубликования: 31.12.2019
Страница №30 из 31:
Увеличить